Παρακράτηση φόρου: Τι αλλάζει από τον Ιούνιο
Eλενα Λασκαρη στο eyro2day.gr
Πόση είναι η μείωση σε μισθό/σύνταξη από τη νέα φορολογική κλίμακα και ποιοι είναι οι (λίγοι) τυχεροί που θα δουν αύξηση. Ερώτημα πότε θα έρθει ο λογαριασμός για τα «αναδρομικά». Συνεδριάζει το EWG (και) για τους έμμεσους φόρους. Αναλυτικά παραδείγματα.
Παρακράτηση φόρου: Τι αλλάζει από τον Ιούνιο
Μέχρι τώρα οι φορολογούμενοι ακούνε ή διαβάζουν για «φορο-καταιγίδες», τις οποίες η κυβέρνηση αποκηρύσσει επιχειρώντας να πείσει ότι σχεδόν κανένας δεν θα πληρώσει τίποτα παραπάνω. Νέα αύξηση φόρου στην τσέπη του από τις αρχές του χρόνου δεν έχει βιώσει κανείς.
Μετά την ψήφιση του ασφαλιστικού-φορολογικού πακέτου όμως την περασμένη Κυριακή, όχι μόνο έρχεται η ώρα της αλήθειας αλλά και η ώρα των περικοπών σε μισθούς και συντάξεις. Αποτελούν τα «προεόρτια», γιατί ίσως και σήμερα στο EWG που προγραμματίζεται θα προκύψει ο λογαριασμός για τους έμμεσους φόρους που θα πρέπει να εισφέρουν στα κρατικά ταμεία έως και 1,8 δισ. ευρώ, με ορίζοντα το 2018. Το «πακέτο» αναμένεται να κατατεθεί τις επόμενες ημέρες στη Βουλή, μαζί με τις ρυθμίσεις για τα κόκκινα δάνεια, το Ταμείο Ιδιωτικοποιήσεων, αλλά και τον περίφημο «κόφτη».
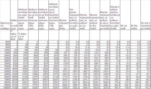
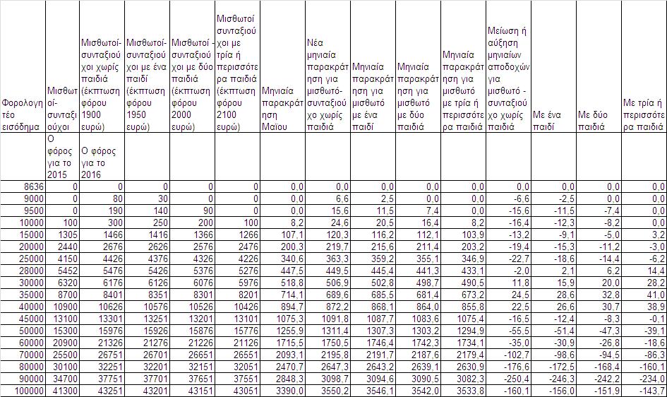
Αφήνοντας εντελώς εκτός υπολογισμών τις επιβαρύνσεις από τους έμμεσους φόρους και το μέτωπο των εισφορών οι οποίες βρίσκονται καθ’ οδόν και εξετάζοντας μόνο τις επιπτώσεις των αλλαγών σε κλίμακα φορολογίας εισοδήματος, κλίμακα ειδικής εισφοράς αλληλεγγύης και αφορολογήτου, διαπιστώνουμε ότι οι μειώσεις μισθών και συντάξεων στα χαμηλότερα εισοδηματικά κλιμάκια αγγίζουν έως και τα 22,7 ευρώ τον μήνα. Είναι απλώς θέμα χρόνου να γίνουν αντιληπτές μέσω των αλλαγών στη μηνιαία παρακράτηση φόρου και ειδικής εισφοράς αλληλεγγύης.
Μισθωτός χωρίς παιδιά με ετήσιο εισόδημα 10.000 ευρώ (αφού έχουν αφαιρεθεί οι ασφαλιστικές εισφορές) έχει σήμερα μηνιαία παρακράτηση φόρου 8,2 ευρώ. Με τις αλλαγές που ψηφίστηκαν, η μηνιαία παρακράτηση φόρου θα πρέπει να αυξηθεί στα 24,6 ευρώ, επομένως ο μισθός του θα μειωθεί κατά 16,4 ευρώ κάθε μήνα, μετά την εφαρμογή των νέων φορολογικών διατάξεων. Στη ζώνη εισοδημάτων από 9.000 έως και 25.000 ευρώ, οι αλλαγές στο φορολογικό φέρνουν μειώσεις μισθών και συντάξεων:
* Από 6,6 έως και 22,7 ευρώ τον μήνα για φορολογούμενους χωρίς παιδιά. Φορολογούμενος με ετήσιο εισόδημα 9.000 ευρώ (ή 750 ευρώ τον μήνα) σήμερα δεν υπόκειται σε μηνιαία παρακράτηση φόρου, δεδομένου ότι καλυπτόταν από το αφορολόγητο των 9.545 ευρώ. Με τη μείωση του αφορολογήτου στις 8.636 ευρώ (εφόσον δεν έχει παιδιά), η εφορία θα του παρακρατά κάθε μήνα 15,6 ευρώ.
* Από 2,5 έως και 18,6 ευρώ τον μήνα για φορολογούμενους με ένα παιδί. Οι μεγαλύτερες επιβαρύνσεις αφορούν φορολογούμενους με ετήσιες αποδοχές 25.000 ευρώ, όπου η αύξηση της μηνιαίας παρακράτησης φόρου εισοδήματος και ειδικής εισφοράς αλληλεγγύης μεταφράζονται σε μείωση αποδοχών 18,6 ευρώ τον μήνα.
* Από 5 έως και 14,4 ευρώ τον μήνα για φορολογούμενους με δύο παιδιά. Η μικρότερη επιβάρυνση 5 ευρώ τον μήνα αφορά όσους έχουν ετήσιο εισόδημα 15.000 ευρώ, ενώ το παράδοξο είναι πως σε χαμηλότερα εισοδήματα, π.χ. στις 9.500 ευρώ, η εφορία θα παρακρατά από τον μισθό 7,4 ευρώ κάθε μήνα παραπάνω σε σχέση με σήμερα.
* Από 3 έως και 6,2 ευρώ τον μήνα για φορολογούμενους με τρία παιδιά. Οι τρίτεκνοι και πολύτεκνοι έσωσαν την παρτίδα των επιβαρύνσεων την τελευταία στιγμή, όταν η κυβέρνηση αποφάσισε να διατηρήσει σταθερή και για τα εισοδήματα του 2016 την έκπτωση φόρου των 2.100 ευρώ, η οποία ίσχυε το 2015.
Υπάρχουν και αυξήσεις
Για να μην είμαστε άδικοι, από τις αλλαγές υπάρχουν και ορισμένοι κερδισμένοι. Στην εισοδηματική ζώνη των 30.000-40.000 ευρώ θα υπάρξουν αυξήσεις μισθών έως και 41 ευρώ, επίσης εξαιτίας των αλλαγών στη μηνιαία παρακράτηση.
Πότε θα εφαρμοστούν οι αλλαγές; Σύμφωνα με τον νόμο άμεσα, κατά πάσα πιθανότητα από τον Ιούνιο.
Επειδή όμως σε τέτοιες περιπτώσεις δεν είναι ασύνηθες η απαιτούμενη εγκύκλιος προσαρμογής των παρακρατήσεων να καθυστερεί, μπορεί να πιάσουμε και Ιούλιο. Αργά ή γρήγορα πάντως, οι μειώσεις για τη συντριπτική πλειοψηφία και οι αυξήσεις για τους λίγους θα είναι γεγονός, ενώ μένει να διευκρινιστεί αν θα υπάρξει και αναδρομικό «χαστούκι».Οι αλλαγές στη φορολογία εισοδήματος ισχύουν από την 1η Ιανουαρίου 2016, γεγονός το οποίο σημαίνει αλλαγές στη μηνιαία παρακράτηση από τον Ιανουάριο.
Το ένα ενδεχόμενο -μάλλον απίθανο- είναι από την έναρξη εφαρμογής της νέας παρακράτησης να υπάρξει αναδρομική παρακράτηση και για τους προηγούμενους μήνες. Το δεύτερο και μάλλον πιθανότερο είναι ο λογαριασμός του πρώτου εξαμήνου να «φορτωθεί» στο εκκαθαριστικό του 2017. Οι συνολικές επιβαρύνσεις δεν αλλάζουν, απλώς η χρονική κατανομή τους…

